Home > Technical Reference > Present values: benefits payable (m)thly

Present values: benefits payable (m)thly

The present value of annuities is determined precisely if payments are made annually and for all payments made during a certain period, regardless of payment frequency. If annuity payments are made more frequently than annually, however, the life contingent payments are discounted to the beginning of the payment year by means of a standard actuarial approximation.  The present value of insurance amounts is determined precisely regardless of payment frequency. 

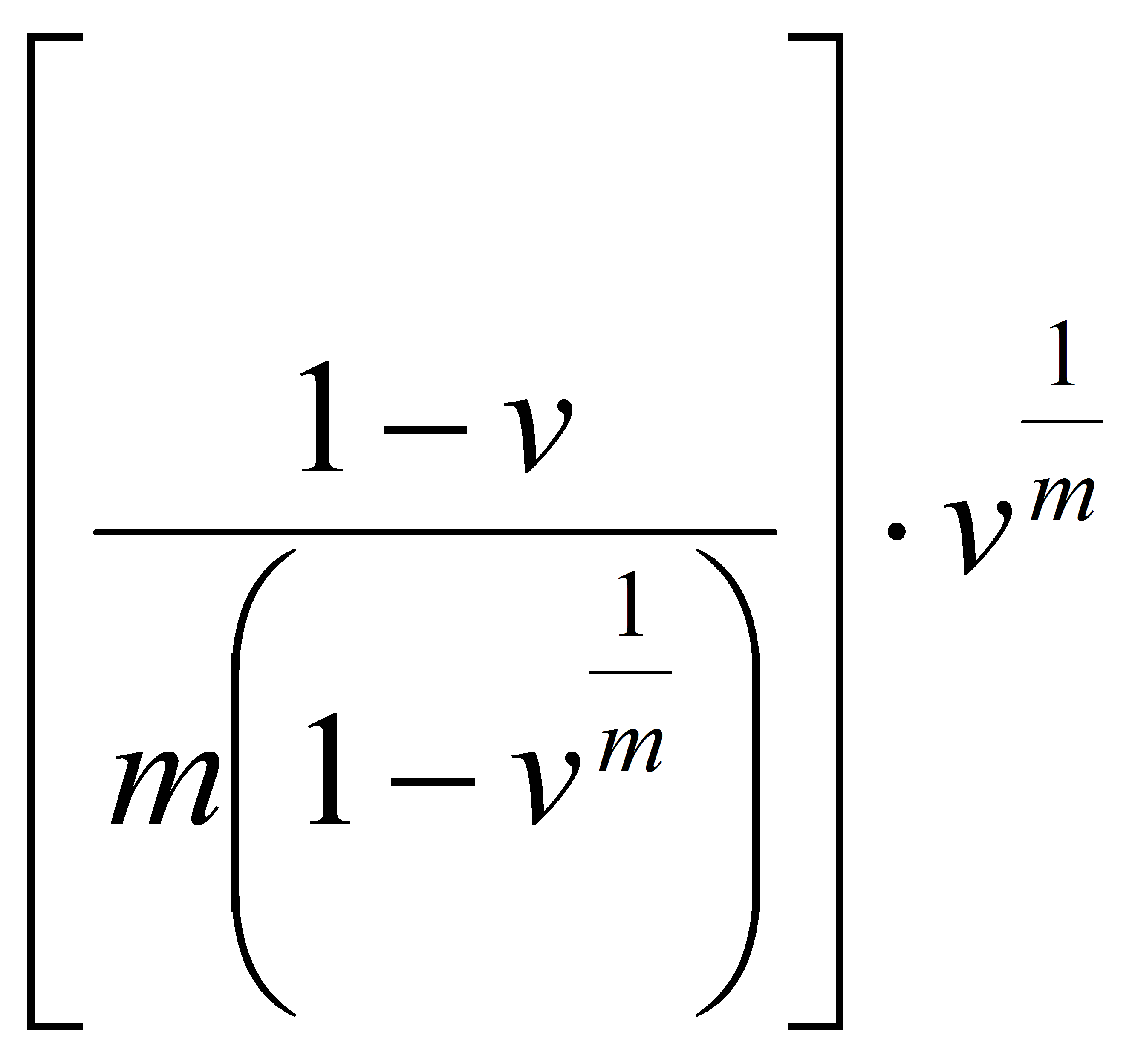
Generally, for beginning-of-period payment timing, for an annuity benefit payable (m)thly over the year to a life aged x, the factor is:

image/ebx_-1348796774.gif for the life contingent payments, and

image/ebx_523358558.gif for the certain period payments.

Likewise, for end-of-period payment timing, for an annuity benefit payable (m)thly over the year to a life aged x, the factor generally is:

image/ebx_1726857483.gif for the life contingent payments, and

image/ebx_1474497380.gif for the certain period payments.

In general, for an insurance face amount payable at the end of the 1/m th part of a year in which a life aged x dies, the factor is:

image/ebx_-855029311.gif.

For the cash refund portion of a modified cash refund annuity, the factor is simply v (i.e., it is not affected by the payment frequency or timing parameters).

The benefit payment frequency (m) applies only to annuities and life insurance (not to lump sum payment forms) and is specified under the Plan Attributes topic of the Plan Definition. (Note: if the “Continuous” option is selected, m is set equal to 10 million for a certain only annuity and to 10 million squared for any other type of annuity – that is, 10 raised to the seventh power and 10 raised to the 14th power, respectively.)

The timing of annuity payments is specified under the Plan Attributes topic of the Plan Definition.  The timing of insurance payments is always the end of the period.

These discounts are equal to 1, 1, and v, respectively, when payments are made annually or the insurance face amount is paid at the end of the year of death (i.e., when m=1).

For joint and survivor annuities, see also the Technical Reference article entitled “Present values: joint & survivor annuity payment forms”.

EXAMPLES

The examples below illustrate present value calculations under various annuity and insurance payment forms. Each assumes a $1,000 annual benefit payable monthly, at the beginning of the month, or insurance with a face amount of $1,000 paid at the end of the month of death (that is, m = 12). The present value of the payment form is the value at the decrement age, x; w represents omega, the oldest age of the underlying mortality table, and y is the beneficiary’s age (for joint and survivor annuities) when the member is age x. Joint and survivor fractions, in our examples, are 0.5 when only the beneficiary is alive and 1 otherwise.

 

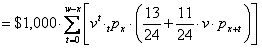
Life Annuity

image/ebx_-1353035342.gif

image/ebx_1359351960.gifimage/ebx_-1066115467.gif

 

n Year Certain Annuity

image/ebx_-1689402259.gif

image/ebx_1827617649.gif

 

n Year Certain and Life Annuity

= present value of an n year certain annuity + present value of an n year deferred life annuity

image/ebx_-1650048020.gif

image/ebx_-997488787.gif

image/ebx_1827617649.gif

image/ebx_-1401723693.gif

 

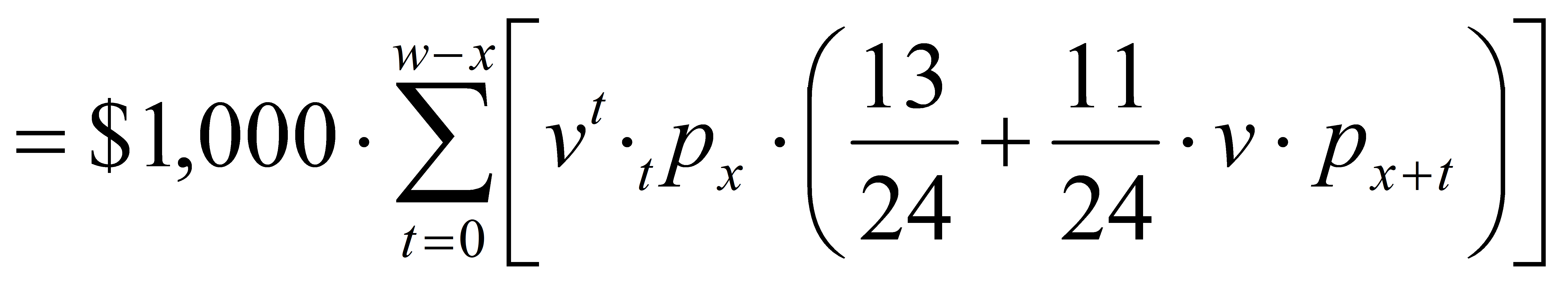
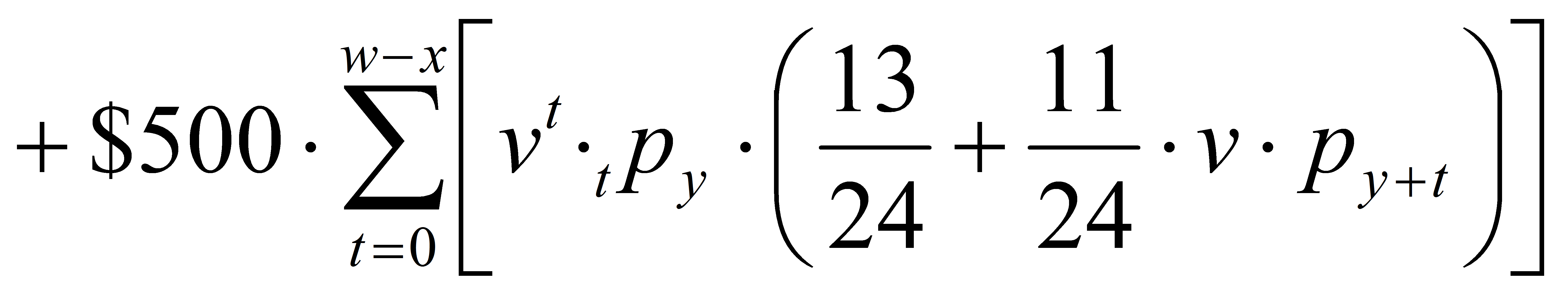
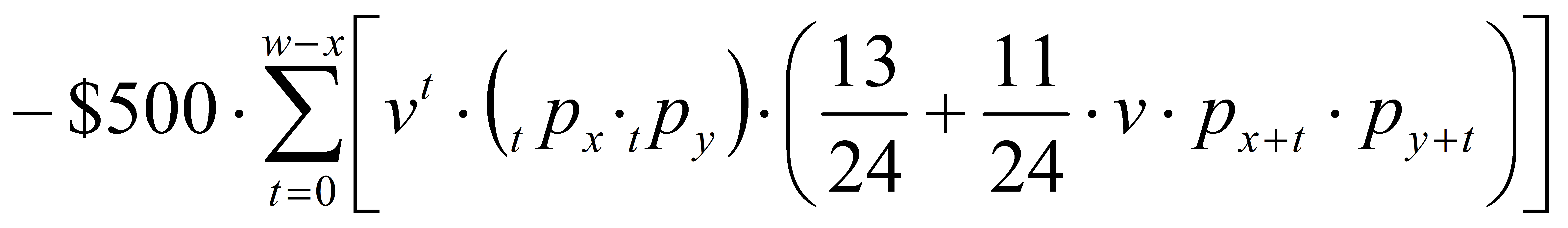
50% J&S Annuity

image/ebx_-1534741241.gifimage/ebx_-881158993.gif

image/ebx_2039554166.gif

image/ebx_197751177.gif

image/ebx_1070126515.gif

image/ebx_65104722.gif,

In the formula above, beneficiary mortality is applied starting at the commencement date.

n Year Certain and 50% J&S Annuity

= present value of an n year certain annuity + present value of an n year deferred joint and survivor annuity

image/ebx_1979358521.gif

image/ebx_-1364197245.gif

image/ebx_-1841303756.gif

image/ebx_-424366252.gif

image/ebx_1827617649.gif

image/ebx_-508396449.gif

image/ebx_1251507721.gif

image/ebx_285255178.gif,

In the formula above, beneficiary mortality is applied starting at the commencement date.

 

Life Insurance

image/ebx_-440360400.gif

image/ebx_-2089959551.gif