Home > Technical Reference > U.S. Internal Revenue Code section 415 limits

U.S. Internal Revenue Code section 415 limits

Internal Revenue Code Section 415(b) limits the annual benefit under a defined benefit plan. Details of assumptions and methodology are provided in the IRC Section 415(b) regulations and applicable Revenue Rulings, Revenue Procedures and Notices, including Revenue Ruling 98-1 and Notice 87-21.

For benefits paid in years 1975 and later, ProAdmin calculates the applicable limit for each active benefit as:

[Minimum of (1) and (2)] x (3), but not less than (4)

where:

(1)  is the dollar maximum at commencement age;

(2)  is the salary maximum (highest 3-year average); 

(3) is the adjustment for payment form; and

(4)  is the $10,000 exemption.

Note: The 415(b) limit is applied to the benefit at commencement if Apply U.S. 415(b) maximum pension limit is selected in the Benefit Definition. Otherwise, the same calculation may be obtained by use of the operator #MAXBEN.

The following is additional detail on each of the above items:

1.   Dollar maximum at commencement age

(a) Dollar maximum

The dollar limit is determined when a participant leaves active service, or at a different date (commencement, a fixed year, etc.) if so specified in the Regulatory Data > U.S. Maximum Benefits parameters. The limit was $118,800 for the annual benefit of a participant leaving in 1994. This limit was projected and then rounded down to a multiple of $5,000 to obtain the rounded historical limits for years 1995 and later. Historical limits are available in ProAdmin.

ProAdmin’s calculations will reflect all historical limits available in the external regulatory data text files, subject to any overrides specified under the Plan Definition Regulatory Data topic. For years for which historical data is not yet available, unrounded limits are projected, according to the rate(s) specified under the Regulatory Data Increase Rates topic of the Projection Assumptions, and rounded down to obtain the rounded limits.

(b) Commencement age reduction/increase

Per IRC sections 415(b)(2)(C) and 415(b)(2)(D) as in effect prior to the Economic Growth and Tax Relief Reconciliation Act of 2001 (EGTRRA, or the 2001 Tax Act), the limit determined in (a) is for benefits commencing as of the participant’s social security normal retirement age. This limit is adjusted for early or late commencement.  For early commencement under pre-EGTRRA law, ProAdmin reduces the limit by 1/15 for each of the first 3 years before social security retirement age, by 1/20 for each additional year to age 62, and according to actuarial equivalence from age 62 to the actual commencement age.

For early commencement under EGTRRA, ProAdmin reduces the limit, if benefits commence before age 62, according to actuarial equivalence from age 62 to the actual commencement age. Per Internal Revenue Service Notice 87-21, the adjustment is actually for each month by which commencement age precedes social security normal retirement age (age 62 under EGTRRA).  ProAdmin then compares the actuarial equivalence factors calculated at ages 62 and earlier to any normalized Plan Reduction factors specified by the 415 limit parameters of each Benefit Definition.  

For late commencement, if an adjustment is elected on the U.S. 415(b) Maximum Benefit Limit screen (accessed by means of the U.S. Maximum Benefits button under the Regulatory Data topic of Plan Definitions), the limit is increased according to actuarial equivalence (discussed in more detail below). ProAdmin then uses the lesser of the late commencement actuarial equivalence factors calculated at ages 65 and later and any plan increase factors (normalized to age 65) specified (as a late retirement component) by the 415 limit parameters of each Benefit Definition.  

ProAdmin computes actuarial equivalence according to the mortality and interest rate assumptions entered on the U.S. 415(b) Maximum Benefit Limit dialog box, using either the plan’s benefit payment frequency and timing or annual beginning of year annuity factors, based upon the user selection on the same dialog box. (The default choice for frequency and timing is the plan’s basis, consistent with illustrations in the regulations and the IRS’ informal indication of expectations)

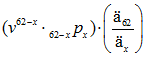
Thus, for example, under EGTRRA law, to obtain the limit applicable at a commencement age x less than 62, ProAdmin reduces the dollar limit payable at 62 by multiplying by the minimum of

and the normalized to age 62 plan reduction factors as specified in each Benefit Definition. To normalize the table, ProAdmin divides the table value at commencement age to the table value at age 62.

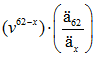
Note that under IRS Notice 87-21, mortality can be ignored during the deferral period if there is no forfeiture of benefits upon death. If you choose not to apply a mortality discount, then, under EGTRRA law, the first factor above simplifies to

where:

   is an annuity-due commencing at age r;
is the probability of living t years from age r; and

v = 1/(1 + i), where i is the interest rate applicable before age 62.

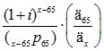
Under EGTRRA law, to obtain the limit applicable at a commencement age x greater than social security normal retirement age of (for example) 65, ProAdmin increases the dollar limit payable at 65 by multiplying by

where:

is an annuity-due commencing at age r;

is the probability of living t years from age r; and

v = 1/(1 + i), where i is the interest rate applicable before age 62.

(c) Participation proration

The limit determined in (b) is prorated for participation of less than 10 years, per IRC section 415(b)(5)(A). Thus the limit is multiplied by:

(years of participation service) / 10, with the result not less than 1/10.

ProAdmin makes this adjustment based on the Service Definition Set you select for the participation (proration) service parameter on the U.S. 415(b) Maximum Benefit Limit dialog box (accessed by means of the U.S. Maximum Benefits button under the Regulatory Data topic of the Plan Definition). If "<Base Service Set >" is selected, then the <Base Service Set> Definition entered under the Member Data topic of Census Specifications will be used.

 

2.   Average salary maximum

Note that, per IRC sections 415(b)(7) and 415(b)(11), this limitation is not applicable to some plans. You may elect whether to apply this limit under the Regulatory Data topic of the Plan Definition (U.S. 415(b) Maximum dialog box).

(a) Highest 3 year average salary

The highest 3-year average salary, per IRC sections 415(b)(1)(B) and 415(b)(3)(B), is determined as the highest consecutive 3-year average out of the participant’s entire career. Years prior to the first year of participation, as indicated by the field selected for the participation (proration) service parameter, are excluded from the average salary. If there are fewer than 3 years of participation service, ProAdmin averages over the (one or two) available years. ProAdmin always divides the total salary by a whole number (1, 2 or 3) to get the average salary, and the salary for the plan year in which participation starts is generally included in the average. ProAdmin uses the salary history of the Salary Definition Set you specify under the Regulatory Data topic of Plan Definition.

(b) Service proration

The limit determined in (a) is prorated for service of less than 10 years, per IRC section 415(b)(5)(B). Thus the limit is multiplied by:

(years of service) / 10, with the result not less than 1/10.

ProAdmin makes this adjustment based on the <Base Service Set> Definition specified under the Member Data topic of the Census Specifications.

3.   Adjustment for payment form

If Adjust limit for {all} or {lump sum} payment forms is checked, multiple maximum benefit limits are calculated for each Benefit Definition.  If Adjust limit for lump sum payment forms is selected, two maximum benefit limits are calculated for each plan actuarial equivalence basis.  One is the "Life annuity or QJSA default" to which no payment form adjustment is made. The other is the "Lump sum form(s)" basis, where the life annuity maximum is multiplied by a payment form factor equal to the lesser of the following straight life annuity bases: (1) the plan basis, (2) a factor computed using 5.5% interest and applicable mortality and (3) a factor computed using applicable interest and mortality and then multiplied by 1.05. 

If Adjust limit for all payment forms is selected, as many maximum benefit limitations are calculated as are determined to be necessary.  There will always be a "Life annuity or QJSA default"  to which no payment form adjustment is made, and if there are lump sums (or life insurance) there will be a "Lump sum form(s)" limit calculated as described above.  There may also be additional limits with a generic name of "StdForm x" or "JS Form x", which will calculate and apply a payment form factor equal to the lesser of the statutory and plan basis ratios of a straight life annuity to the payment value, where the statutory values are computed using 5% interest and applicable mortality and the plan basis values are calculated using the plan actuarial equivalence specified in the Plan Attributes.  In each case there will be linked annuity factor accrual basis components with the companion name (i.e., "__StdFormx", "__PlnFormx", "__JSFormx" and "__JSPFormx"), and the footnotes of the maximum benefit detailed results and the companion components will each display the names of the payment forms to which the limit is applied.

4.   $10,000 exemption

Note that, per IRC section 415(b)(4), this exemption is not available to some plans. You may elect whether to apply this limit under the Regulatory Data topic of the Plan Definition (U.S. 415(b) Maximum Benefit Limit dialog box, accessed by means of the U.S. Maximum Benefits button).

The $10,000 is prorated for service of less than 10 years, per IRC section 415(b)(5)(B). Thus the $10,000 is multiplied by:

(years of service) / 10, with the result not less than 1/10.

ProAdmin makes this adjustment based on the <Base Service Set> Definition specified under the Member Data topic of the Census Specifications.

 

5.   Maximum Benefit Payable

The final maximum benefit payable is restricted so as not to decrease.  Such a decrease might otherwise occur due to cliffs in plan early retirement factors.