Home > Technical Reference > Present values: benefits payable (m)thly

Present values: benefits payable (m)thly

pension modes except German

See also Present values: benefits payable m(thly) – German pension mode.

In the pension modes other than the German mode, the present value of insurance amounts is determined precisely regardless of payment frequency. The present value of annuities is determined precisely if payments are made annually and for all payments made during a certain period, regardless of payment frequency. If annuity payments are made more frequently than annually, however, the life contingent payments are discounted to the beginning of the payment year by means of a standard actuarial approximation. The factor ProVal uses to discount to the beginning of the payment year is displayed in the (active and inactive) sample life output under the payment frequency adjustment column(s), for annuities, or payment timing discount column, for life insurance.

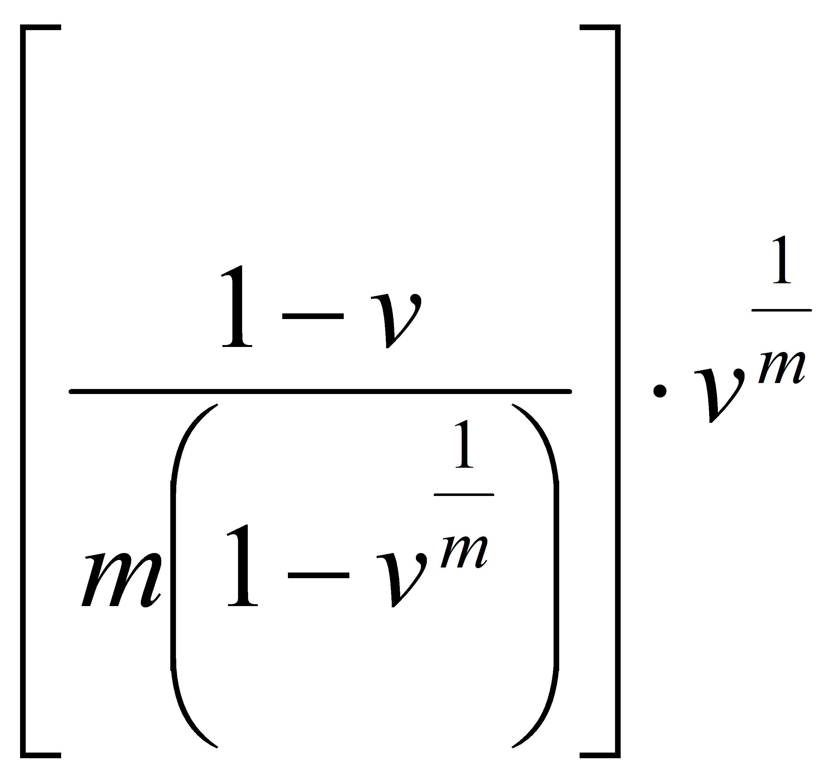
Generally, for beginning-of-period payment timing, for an annuity benefit payable (m)thly over the year to a life aged x, the factor is:

image/ebx_-1348796774.gif for the life contingent payments, and

image/ebx_523358558.gif for the certain period payments.

Likewise, for end-of-period payment timing, for an annuity benefit payable (m)thly over the year to a life aged x, the factor generally is:

image/ebx_1726857483.gif for the life contingent payments, and

image/ebx_1474497380.gif for the certain period payments.

In general, for an insurance face amount payable at the end of the 1/m th part of a year in which a life aged x dies, the factor is:

image/ebx_-855029311.gif.

For the cash refund portion of a modified cash refund annuity, the factor is simply v (i.e., it is not affected by the payment frequency or timing parameters).

The benefit payment frequency (m) applies only to annuities and life insurance (not to lump sum payment forms) and is specified under the Plan Attributes topic of the Plan Definition. (Note: if the “Continuous” option is selected, m is set equal to 10 million for a certain only annuity and to 10 million squared for any other type of annuity – that is, 10 raised to the seventh power and 10 raised to the 14th power, respectively.) In the OPEB mode, the benefit payment frequency is always 1.

The timing of annuity payments is specified under the Plan Attributes topic of the Plan Definition. In the OPEB mode, the timing of the single payment made during the year is specified under the Timing of claims payment parameter of the Other Valuation Parameters topic of the Valuation Assumptions. In all modes, the timing of insurance payments is always the end of the period.

These discounts are equal to 1, 1, and v, respectively, when payments are made annually or the insurance face amount is paid at the end of the year of death (i.e., when m=1).

For joint and survivor annuities, see also the Technical Reference article entitled “Present values: joint & survivor annuity payment forms”.

 

EXAMPLES

The examples below illustrate present value calculations under various annuity and insurance payment forms. Each assumes a $1,000 annual benefit payable monthly, at the beginning of the month, or insurance with a face amount of $1,000 paid at the end of the month of death (that is, m = 12). The present value of the payment form is the value at the decrement age, x; w represents omega, the oldest age of the underlying mortality table, and y is the beneficiary’s age (for joint and survivor annuities) when the member is age x. Joint and survivor fractions, in our examples, are 0.5 when only the beneficiary is alive and 1 otherwise.

 

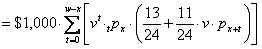
Life Annuity

image/ebx_-1353035342.gif

image/ebx_1359351960.gifimage/ebx_-1066115467.gif

 

n Year Certain Annuity

image/ebx_-1689402259.gif

image/ebx_1827617649.gif

 

n Year Certain and Life Annuity

= present value of an n year certain annuity + present value of an n year deferred life annuity

image/ebx_-1650048020.gif

image/ebx_-997488787.gif

image/ebx_1827617649.gif

image/ebx_-1401723693.gif

 

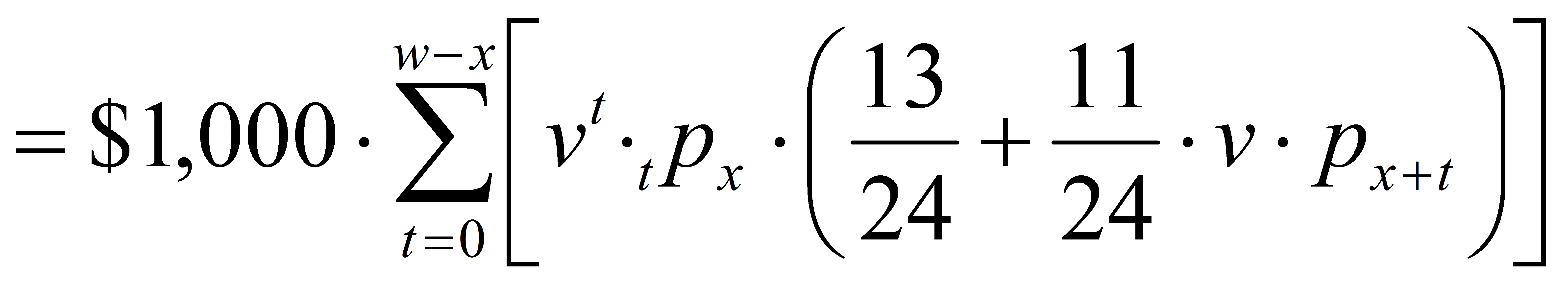
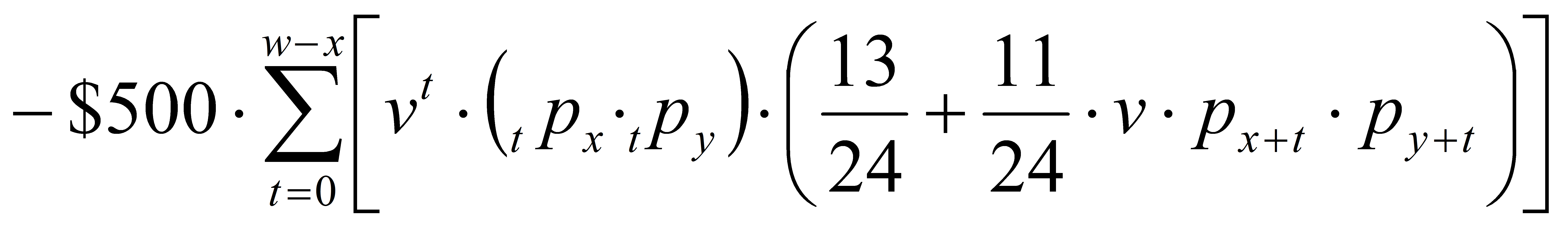
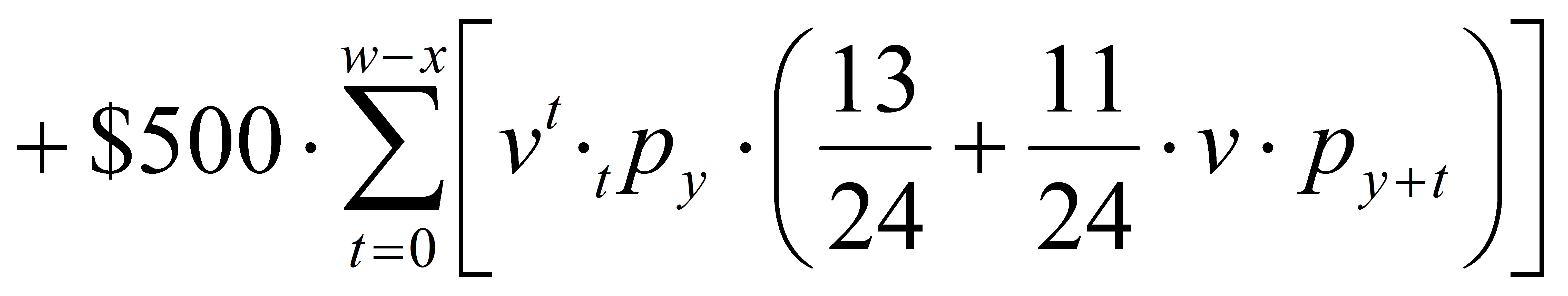
50% J&S Annuity

image/ebx_-1534741241.gifimage/ebx_-881158993.gif

image/ebx_2039554166.gif

image/ebx_197751177.gif

image/ebx_1070126515.gif

image/ebx_65104722.gif,

if the joint life payment form settings specify that marital status, and thus the beneficiary’s age and sex, is determined:

That is, in the formula above, beneficiary mortality is applied starting at the decrement date for actives (and emerging inactive members in a Core Projection) or starting at the user-specified Valuation Date for inactive members (initial inactive members in a Core Projection).

If the joint life payment form settings, however, specify that marital status, and thus the beneficiary’s age and sex, is determined at benefit commencement (or, for inactive members, at the valuation date, if later than the commencement date), then, “beneficiary survivorship discount” in the formula above reflects only member mortality during the deferral period (if any), not beneficiary mortality, and beneficiary mortality is reflected once benefit payment commences. This methodology difference thus matters (only) for a payment form with a deferral period (that is, commencement date later than decrement date or valuation date, whichever is relevant). Similarly, in this case, of a deferred payment form with marital status determined at benefit commencement, the “joint survivorship discount” reflects only member mortality during the deferral period, not beneficiary mortality, and beneficiary mortality is reflected once benefit payment commences.

 

n Year Certain and 50% J&S Annuity

= present value of an n year certain annuity + present value of an n year deferred joint and survivor annuity

image/ebx_1979358521.gif

image/ebx_-1364197245.gif

image/ebx_-1841303756.gif

image/ebx_-424366252.gif

image/ebx_1827617649.gif

image/ebx_-508396449.gif

image/ebx_1251507721.gif

image/ebx_285255178.gif,

if the joint life payment form settings specify that marital status, and thus the beneficiary’s age and sex, is determined:

That is, in the formula above, beneficiary mortality is applied starting at the decrement date for actives (and emerging inactive members in a Core Projection) or starting at the user-specified Valuation Date for inactive members (initial inactive members in a Core Projection).

If the joint life payment form settings, however, specify that marital status, and thus the beneficiary’s age and sex, is determined at benefit commencement (or, for inactive members, at the valuation date, if later than the commencement date), then, “beneficiary survivorship discount” in the formula above reflects only member mortality during the deferral period (if any), not beneficiary mortality, and beneficiary mortality is reflected once benefit payment commences. This methodology difference thus matters (only) for a payment form with a deferral period (that is, commencement date later than decrement date or valuation date, whichever is relevant). Similarly, in this case, of a deferred payment form with marital status determined at benefit commencement, the “joint survivorship discount” reflects only member mortality during the deferral period, not beneficiary mortality, and beneficiary mortality is reflected once benefit payment commences.

 

Life Insurance

image/ebx_-440360400.gif

image/ebx_-2089959551.gif