Home > Technical Reference > Decrements: rates vs. probabilities

Decrements: rates vs. probabilities

In all modes other than the German pension mode, active decrements can be specified as rates, as probabilities or as mortality rates with probabilities for the other causes of decrement. The German mode parameters are specified differently and are discussed in a separate section of this article (immediately below discussion of the other modes).

 

All modes other than German pension

If you choose:

For information regarding the case that "rates by benefit" have been assumed (e.g., the disability decrement is the sum of different disability rates for disability in the line of duty and other causes), see the article titled Decrements: rates by benefit.

For beginning of year decrements, mortality exposure is reduced by the sum of the other decrements.

image/ebx_1196264289.gif

For middle of year decrements, mortality exposure is reduced by one half the sum of the other decrements.

image/ebx_-215844861.gif

 

German pension mode

Active decrements are adjusted automatically according to one of two methods: retirement and termination rates are either entered as dependent probabilities or as independent rates. Regardless of the method selected, mortality and disability rates considered pre-adjusted for competition with each other, and so are mortality and termination rates.

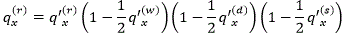
For decrements directly from active service, if the Valuation Assumptions parameter Retirement and Termination rates entered are is set to Dependent probabilities, then:

image/ebx_593626253.gifis read directly from the table entered, without adjustment

image/ebx_-703585129.gifis read directly from the table entered, without adjustment

 
 
 
 
 
 
 
 

 

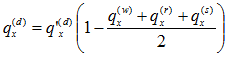
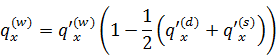
and if the Valuation Assumptions parameter Retirement and Termination rates entered are is set to Independent rates, then:

image/ebx_-1944238456.gif

image/ebx_-551694893.gif


,

where the “prime” superscript indicates that this “q” (or probability) represents the absolute rate of decrement for retirement (r), withdrawal (w), death (d) and disability (s).

Note that the formulas above apply only to years in which the probability of retirement is less than 100%. When the retirement probability is 100%, all other decrement probabilities are assumed to be zero.

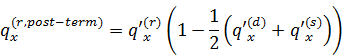
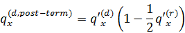
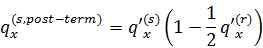
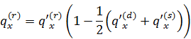
For post-termination decrements (“second decrements”), the termination decrement no longer exists, and therefore only retirement, death and disability are considered. There are also special adjustments in the year of termination. Because termination and retirement decrements are mutually exclusive, the probability of retirement in the year of termination is zero. Also, because terminations are assumed to occur mid-year, death and disability decrements are adjusted to reflect the remaining one-half year of exposure in the year of termination.

For post-termination decrements in years after the year of termination, if the Valuation Assumptions parameter Retirement and Termination rates entered are is set to Dependent probabilities, then:

image/ebx_-968019723.gifis read directly from the table entered, without adjustment

image/ebx_815900762.gif

image/ebx_-1237772618.gif

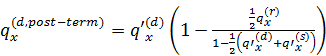
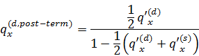
and if the Valuation Assumptions parameter Retirement and Termination rates entered are is set to Independent rates, then:

image/ebx_-1966945892.gif

image/ebx_1837195499.gif

image/ebx_-1579613195.gif

In other words, the formulas for post-termination decrements in years after the termination year are the same as those for decrement from active service, except that the probability of termination is zero. (Therefore, the resulting probability may be different.)

For post-termination decrements in the year of termination, the retirement rate is treated as zero, and the parameter Retirement and Termination rates entered are is therefore not relevant. The formulas for decrement probabilities in these years are:

image/ebx_-737246190.gif

image/ebx_1001053226.gif

 

image/ebx_-1702475989.gif