Home > Technical Reference > Life expectancy for inactives

Life expectancy for inactives

The life expectancy, or expected lifetime, for inactives may be used in Valuation Sets, Deterministic Forecasts and Stochastic Forecasts to amortize accounting gains and losses and to amortize new prior service costs from plan amendments. Using the expected lifetime as the amortization basis (instead of future service) may be desirable (or required) if your plan participants are all, or almost all, inactive (check the rules of the Accounting Standard you are following for more information). To use the inactive expected lifetime, select the “Life expectancy (inactives only)” option for the Amortization basis parameter (found under the Accounting Methodology topic of the Asset & Funding Policy, after you click the Future Amortizations button). Alternatively, you may choose to reflect the life expectancy of all participants by selecting “Life expectancy (actives & inactives)”. In addition, the Future Amortizations dialog box contains a parameter to let you amortize plan amendments using level payments over average life expectancy or declining payments over total life expectancy. You may also select the method used to calculate the denominator of the average. The denominator may be based on either the head count expected to receive benefits or the average head count during the year.

For Core Projections in the pension modes, the inactive life expectancy is the sum of the life expectancies of the initial inactive population and the emerging inactive population (i.e., decrementing active members). In OPEB mode, Core Projections will produce the life expectancy of initial inactive members and emerging inactive members separately.

In both the pension and OPEB modes, inactive deaths are assumed to occur, on average, in the middle of the year. However, in OPEB mode (just as for the active life expectancy calculation), the inactive life expectancy excludes post-decrement periods when no benefit is payable (e.g., the life expectancy when only a temporary benefit is payable includes only the payment period), whereas in the pension modes, if a benefit will be paid (even just a lump sum), the life expectancy includes the entire post-decrement period remaining after the valuation date, both before and after the payment is made.

For emerging inactives participants in a core projection, if there are termination benefits that commence at post-termination retirement age, then only post-commencement mortality will be used.

OPEB mode:

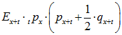
Under the average life expectancy option, each inactive member’s contribution to the average’s numerator and denominator is:

Numerator:

image/ebx_1244748885.gif

Denominator:

If the “Headcount expected to receive benefits” option is selected: 1.

If the “Average headcount during the year” option is selected:

image/ebx_-564792228.gif

Where:

x = current age (on the valuation date),

r = age at which probability of death first becomes 100%,

p = probability of survival,

q = probability of death, and

E = 1 if a positive benefit is payable at this or a future age, 0 otherwise.

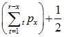
In other words, for each year, count one year if the participant survives the year and count half a year if the participant dies during the year. Once benefits cease, the portion of the participant’s lifetime that follows is excluded. If benefits are payable for life (i.e., E=1 for all ages), then the numerator simplifies to:

Numerator:

image/ebx_1084056237.gif

Denominator:

If the “Headcount expected to receive benefits” option is selected: 1.

If the “Average headcount during the year” option is selected:

image/ebx_1127387261.gif

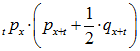
Under the total life expectancy option, each inactive member’s contribution to the total for the year beginning at time t is:

image/ebx_406418948.gif

 

Pension modes:

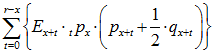
Under the average future lifetime option, each inactive member’s contribution to the average’s numerator and denominator is:

Numerator:

image/ebx_-1160999973.gif

Note that this numerator is what the OPEB mode numerator “reduces to” when E=1 for all ages (that is, when benefits are assumed payable for life).

Denominator:

If the “Headcount expected to receive benefits” option is selected: 1.

If the “Average headcount during the year” option is selected:

image/ebx_1127387261.gif

Under the total future lifetime option, each inactive member’s contribution to the total for the year beginning at time t is:

image/ebx_-814213508.gif

 

Example - OPEB mode, with average calculated under denominator option “Headcount expected to receive benefits”:

Number of inactives:   1    
Current age:   55    
Age at which mortality rate is 100%: 110    
Age temporary period ends: 65    
             
Age t px+t tpx qx+t Ex+t Expected Lifetime
             
55 0 0.996487 1.000000 0.003513 1 0.998244
56 1 0.996091 0.996487 0.003909 1 0.994539
57 2 0.995676 0.992592 0.004324 1 0.990446
58 3 0.995245 0.988300 0.004755 1 0.985950
59 4 0.994800 0.983600 0.005200 1 0.981043
60 5 0.994340 0.978486 0.005660 1 0.975717
61 6 0.993869 0.972947 0.006131 1 0.969965
62 7 0.993382 0.966982 0.006618 1 0.963783
63 8 0.992861 0.960583 0.007139 1 0.957154
64 9 0.992281 0.953725 0.007719 1 0.950044
65 10 0.991616 0.946363 0.008384 0 0
66 11 0.990842 0.938429 0.009158 0 0
  0 0
109 54 0.606898 0.606724 0.393102 0 0
110 55 0.000000 0.368220 1.000000 0 0
             
          Total 9.766884
          Average 9.766884

(Note: the average is the same as the total because the denominator of the fraction used to compute the average is 1.)

Asset & Funding Policy

Under the Future Amortizations button of the Accounting Methodology topic there is an option that allows you to select the method used to compute the denominator for the average future service or life expectancy (whichever you have chosen as your amortization basis). The option “Average headcount during the year” is ProVal’s methodology prior to version 3.01. Note that if you select “Average headcount during the year”, results under the amortization basis (either average future service or life expectancy) might not match the Output values for your Valuation or Core Projection, because the Valuation or Core Projection run had calculated the average using the “Headcount expected to receive benefits” option. For more information, see the What’s New article for ProVal Version 3.01.