Home > Technical Reference > Payment form values for mid-year benefits

Payment form values for mid-year benefits

This article describes the calculation of payment form values for benefits that are seen as beginning in the middle of the year, or, on average, in the middle of the year. That is, the article covers payment form values for:

  1. Middle of year decrements in all modes other than German mode

  2. Other mid-year benefits

    1. Annuities arising from death or disability decrements in German mode

    2. Post-decrement death benefits with beneficiary determined at member death for both actives and inactives in all pension modes

    3. The spouse portion of Joint Life Annuities with beneficiary determined at member death for both actives and inactives in all pension modes (except U.K.)

  3. In-service benefits in German mode

Each of these types of benefits is described in its own section below.

 

1. Middle of Year Decrements in all modes other than German mode

The payment form value for an active assumed to decrement in the middle of the year, when the participant is age x, is of the form:

image/ebx_-490887332.gif

That is, the payment form values at ages x and x+1 are averaged to estimate the value of an annuity beginning at age x+0.5, and this average annuity value is discounted to the beginning of the year of decrement (anniversary of the valuation date in the year of decrement) with one half year’s interest. In Sample Lives, payment form value reports are available for each integral decrement age before averaging. The liability reports then show the averaged payment form values at each decrement age, discounted to the beginning of the year.

 

2. Other Mid-Year Benefits - General Statements and Notation

This section describes the calculation of payment form values for all other annuities seen as commencing in the middle of the year. Each type of benefit is described, separately, below; however, some general comments and notation apply to all of these types of benefits. For beginning-of-period payment timing, all of these payment form values are variations of the following general form:

image/ebx_1244743410.gif

where:

image/ebx_-563924251.gif is the number for payments per year (e.g.,  12 for monthly payments)

image/ebx_-572140924.gif  is the value at age x of a life annuity due, beginning at age x, paid m times per year

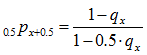
image/ebx_187660633.gif is the probability that the annuity recipient survives from the middle to the end of a year, calculated as:

image/ebx_844185163.gif in all modes other than German mode

image/ebx_-794017317.gif in German mode

image/ebx_-439469236.gif is the estimated value of payments in the last half of the year of decrement, calculated as:

 

image/ebx_-898114684.gif in all modes other than German mode (e.g.,  11/24 for monthly payments)

 

image/ebx_-1329037967.gif in German mode, where i is the interest rate

That is, the present value at age x is the value of payments in the last half of the year of decrement, plus an annuity paid m times per year beginning the year following decrement, both discounted to the beginning of the year of decrement with interest and mortality.

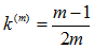
It may be helpful to note from the standard estimate of an annuity paid m times per year, that:

 

image/ebx_-553747585.gif

and therefore, after adding k(m) to both sides, that:

image/ebx_-555988230.gif

and thus the formula for the present value at age x can be rewritten as:

image/ebx_-124606993.gif

2. a. Middle of Year Decrements in German mode

In German mode, for purposes of actuarial present values, death and disability decrements are assumed to occur in the middle of the year (whereas the calculation of benefit amounts at decrement depends on the method selected, see Decrements: beginning of year vs. middle of year). Immediate annuities arising from these decrements therefore reflect commencement in the middle of the year. However, the method by which this middle-of-year commencement is calculated in German mode is different from that shown above for all other modes.

An annuity commencing immediately upon disability decrement from active status in German mode is valued as:

image/ebx_-1195414717.gif

where:

image/ebx_243097798.gif is the probability of survival for the last half of the year of disability decrement

 

image/ebx_-896503293.gif is the value of an annuity payable m times per year to a disabled life, commencing at age x+1

Note that k(m) roughly reflects the half year of payments expected in the year of decrement for immediate annuities. If, instead of commencing immediately, the benefit is deferred to age x+t, this first half-year of payments is not needed. Therefore, a disability annuity deferred to age x+t would have a present value as follows:

image/ebx_721281345.gif

A death benefit payable to a surviving spouse, commencing immediately upon death decrement from active status in German mode is valued as:

image/ebx_-702029648.gif

where:

image/ebx_-696962112.gif is the assumed spouse age for a member who dies at age x

image/ebx_676164410.gif is the probability of spouse survival for the last half of the year of death decrement

image/ebx_-608202828.gif is the value of an annuity payable m times per year to the spouse of the deceased member, commencing at age y(x)+1

Note that the sex of the spouse is assumed to be the opposite of the sex of the member. Additionally, the assumed marriage frequency of a member aged x will be multiplied against the present value above in determining the liability.

2. b. Post-Decrement Death Benefits with Beneficiary Determined at Member Death (or at earlier specified member age)

This payment form is treated as generating annuities that commence, on average, in the middle of the year when payments are immediate (not deferred). This is because, under approximations to the Uniform Distribution of Deaths (UDD), the member will die, on average, in the middle of the year.

This payment form is valued equally for both actives and inactives in all pension modes (and is not available in OPEB mode). We use an active as an example below.

Generally (with one further exception noted below), the present value at decrement age x of an immediate (not deferred) Post-decrement Death Benefit with beneficiary determined at member death is:

image/ebx_659945706.gif

where:

image/ebx_-1305418170.gif is the assumed marriage frequency for a member aged x+t at death.

and the remaining variables are as described above in the section of this article entitled “Other Mid-Year Benefits - General Statements and Notation”. In particular, note that in all modes other than German mode the probability of spouse survival in the last half of the year of member death is 1. If the beneficiary is determined at the earlier of member age at death and a user-specified member age c, then the above formula still applies for x+t < c. If x+t ≥ c, then the formula is the same except that hx+t becomes hc and 0.5py(x+t)+0.5 becomes x+t-cpy(c).

In other words, the present value at decrement age x is the sum over all possible member death ages of the values of mid-year annuities payable to the spouse.

There is an exception for which this present value formula is different. In German mode, if you have selected “RT 1998” for the Biometric Formulae parameter under the Decrements topic of Valuation Assumptions, then a Post-decrement Death Benefit associated with the disability decrement from active status will reflect that the spouse must survive only the last 1/3 of the year if the member dies in the year of disability decrement (but must still survive the last 1/2 of the year of death in all years after the year of disability decrement). In this case, the present value formula becomes:

image/ebx_1460961217.gif

where:

image/ebx_-461760158.gif is 2/3 when t=0, and 1/2 otherwise.

2. c. Joint Life Annuities with Beneficiary Determined at Member Death

In payment forms of the type Joint Life Annuity, if you set the Beneficiary determined at parameter to “member death”, the resulting payment form value is equal to the sum of 1) a life annuity to the member and 2) a Post-decrement Death Benefit with beneficiary determined at member death. The life annuity portion needs no discussion in this article. The post-decrement death benefit portion is calculated exactly as described above.

 

3. In-Service Benefits in German mode

In-Service (e.g. Jubilee) benefits with lump sum payment forms are treated in one of two ways. In a Tax valuation, if Apply German statutory rules is checked in Valuation Assumptions, they are treated as payable at the beginning of the year of eligibility. In an Accounting valuation, or in a Tax valuation when not applying German rules, they are treated as payable at the end of the month in which the member attains eligibility. The payment form value reflects interest and survival as an active member to the month of payment, via a weighted average of beginning-of-year and end-of-year values. An In-Service lump sum payable in the year following valuation age x is valued as:

image/ebx_1517803889.gif

Where:

image/ebx_-1487503723.gifis the weight for the beginning of year portion of the average, i.e. 1 minus the fraction of the year from valuation anniversary to the end of the month of payment and

image/ebx_1615089976.gif is the probability that an active member age x will survive in active service to the end of the year.

 

In-Service benefits with annuity payment forms are valued as beginning-of-year annuities.