Weighted average retirement age
The weighted average retirement age is available as an output item in Valuations, Core Projections, Valuation Sets and Deterministic Forecasts. The calculation is performed for active participants when funding results are run. A sample life report is available in Valuations and Core Projections to facilitate checking the calculation. There is a Valuation Set Exhibit summarizing the calculation for the entire active population.
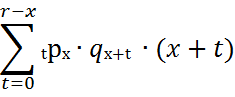
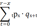
Each active member’s contribution to the average’s numerator and denominator is:
Numerator:

Where:
x = current age (on the valuation date),
r = age at which probability of retirement or termination first becomes 100%,
p = probability of surviving all decrements,
q = probability of retirement.
Denominator:

Example -
| Age | t | tpx | qx+t | Expected Retirements | Weighed Ages |
| 52 | 0 | 1.0000 | 0 | 0 | 0 |
| 53 | 1 | 0.9952 | 0 | 0 | 0 |
| 54 | 2 | 0.9901 | 0 | 0 | 0 |
| 55 | 3 | 0.9845 | 0 | 0 | 0 |
| 56 | 4 | 0.9784 | 0.05 | 0.0489 | 2.7396 |
| 57 | 5 | 0.9230 | 0.05 | 0.0462 | 2.6306 |
| 58 | 6 | 0.8703 | 0.05 | 0.0435 | 2.5238 |
| 59 | 7 | 0.8201 | 0.05 | 0.0410 | 2.4192 |
| 60 | 8 | 0.7722 | 0.20 | 0.1544 | 9.2662 |
| 61 | 9 | 0.6107 | 0.20 | 0.1221 | 7.4502 |
| 62 | 10 | 0.4824 | 0.35 | 0.1688 | 10.4679 |
| 63 | 11 | 0.3082 | 0.25 | 0.077 | 4.8539 |
| 64 | 12 | 0.2273 | 0.25 | 0.0568 | 3.6371 |
| 65 | 13 | 0.1673 | 1.00 | 0.1673 | 10.8769 |
| Total | 0.9260 | 56.8654 | |||
| Average | 61.41 |