Home > Technical Reference > Expected benefit payments

Expected benefit payments

Expected benefit payments (EB) calculated in a Valuation or Core Projection represent the expected cash payments during the year. These values are used in a Valuation Set or Deterministic Forecast without adjustment and are assumed payable in the middle of the year.

Actives

For each active benefit, k, the expected benefit payments, image/ebx_1995889878.gif, are a function of the probability of decrement, image/ebx_-1865283056.gif, theimage/ebx_-678865058.gifthat is payable upon decrement, inactive mortality image/ebx_-901737019.gif for the year beginning on the valuation date, the number of payments per year, m (in OPEB mode, m = 1) and the payment form. Consider the following examples.

Life annuity image/ebx_1602577665.gif

Annuity certain image/ebx_828193286.gif

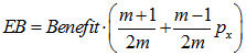
Life insurance image/ebx_-1572173132.gif

Lump sum image/ebx_2076511526.gif

Modified cash refund image/ebx_642600598.gif

 

Under a middle of year decrement assumption, expected benefit payments use average benefits, a half-year’s benefit payments and a half-year’s mortality (except for in the timing adjustment). That is, in the equations above, ProVal uses in place of and:

in the pension modes:  image/ebx_-870170520.gif in place of image/ebx_1650297343.gif,

in OPEB mode: image/ebx_-1638820336.gif in place ofimage/ebx_1565459803.gif,

for lump sums (in pension and OPEB modes): in place of image/ebx_1650297343.gif.

 

Inactives

Inactive expected benefit payments, image/ebx_-1129315202.gif, are a function of the image/ebx_1252941980.gif in force, inactive mortalityimage/ebx_-1712468491.gif for the year beginning on the valuation date, the number of payments per year, m (in OPEB mode, m = 1) and the payment form. Consider the following examples.

Life annuity image/ebx_1170586510.gif

Annuity certain image/ebx_929782857.gif

Life insurance image/ebx_1364152348.gif

Lump sum image/ebx_-111881350.gif

Modified cash refund image/ebx_-1783534744.gif