Lifetime maximums, annual caps and spending account calculations
ProVal offers the following OPEB payment forms:
Life Annuity to Member
Life Annuity to Spouse
Joint Life Annuity to Spouse
Reversionary Annuity to Spouse
Life Insurance on Member's Life
Life Insurance on Spouse's Life
Lump Sum to Member, No Life Contingencies
Lump Sum to Member, Life Contingencies
Lifetime maximums, annual caps, and spending accounts are relevant only to the first four payment forms listed above. Lifetime maximums, annual caps, and spending accounts are not relevant to life insurance or lump sum payment forms because those payment forms represent one-time, rather than ongoing, payments. The remainder of this discussion pertains to lifetime maximums and spending accounts.
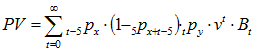
The present value for each of these payment forms (after decrement) takes the form:
Life Annuity to Member: ![]()
Life Annuity to Spouse: ![]()
Joint Life Annuity to Spouse: ![]()
Reversionary Annuity to Spouse: ![]()
Applying a lifetime maximum or spending account means substituting
for
in the equations above, in which
is the amount of projected claims after the limit is applied. The general formula for computing
is given by:
(1) ![]()
where
Probability distribution function for
. Probability of a contingent event occurring at time s (e.g., for a reversionary annuity, death of member) given that payment is received at time t (e.g., that member is dead at time t). s={0,1,…,t}.
Projected claims at time t before being limited
Projected lifetime maximum or spending account at time t
Cumulative claims at time t, given that payment is received at time t (e.g., for a reversionary annuity, that member is dead at time t) and a contingent event occurred at time s (e.g., death of the member). s={0,1,…,t}.
Note that the value of
is limited to zero.
Below we will apply equation (1) to each payment form individually and then in combination.
Life Annuity to Member
For a life annuity to member, it is known that the member survives in order to receive payment at time t. There are no (unknown) contingent events at time t upon which payment depends. Therefore, we can determine
by:
(2) ![]()
EXAMPLE
Lifetime maximum: 100,000
Discount rate: 5%
| t | |||||||
| 0 | 10,000 | 100,000 | 0 | 10,000 | 1 | 1 | 10,000 |
| 1 | 10,000 | 100,000 | 10,000 | 10,000 | 0.9 | 0.9524 | 8,571 |
| 2 | 10,000 | 100,000 | 20,000 | 10,000 | 0.8 | 0.9070 | 7,256 |
| 3 | 10,000 | 100,000 | 30,000 | 10,000 | 0.7 | 0.8638 | 6,047 |
| 4 | 10,000 | 100,000 | 40,000 | 10,000 | 0.6 | 0.8227 | 4,936 |
| 5 | 10,000 | 100,000 | 50,000 | 10,000 | 0.5 | 0.7835 | 3,918 |
| 6 | 10,000 | 100,000 | 60,000 | 10,000 | 0.4 | 0.7462 | 2,985 |
| 7 | 10,000 | 100,000 | 70,000 | 10,000 | 0.3 | 0.7107 | 2,132 |
| 8 | 10,000 | 100,000 | 80,000 | 10,000 | 0.2 | 0.6768 | 1,354 |
| 9 | 10,000 | 100,000 | 90,000 | 10,000 | 0.1 | 0.6446 | 645 |
| 10 | 10,000 | 100,000 | 100,000 | 0 | 0 | 0.6139 | 0 |
| Total | 47,844 |
Life Annuity to Spouse
For a life annuity to spouse, it is known that the spouse survives in order to receive payment at time t. There are no (unknown) contingent events at time t upon which payment depends, so equation (2) applies here too.
Joint Life Annuity to Spouse
For a joint life annuity to spouse, it is known that the both the member and spouse survive in order to receive payment at time t. There are no (unknown) contingent events at time t upon which payment depends, so equation (2) applies here too.
Reversionary Annuity to Spouse
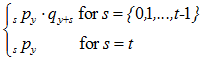
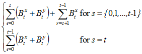
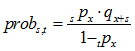
For a reversionary annuity to spouse, it is known that the member dies and the spouse survives in order to receive payment. However, we do not know when the member dies. The probability that the member dies at time s given that we know the member is dead at time t is
for s={0,1,…,t-1}. (Note that the sum of these probabilities from s={0,1,…,t-1} should, and does, equal 1.) Applying these probabilities to the cumulative claims starting the year after the member’s death (s+1), we can determine
by:
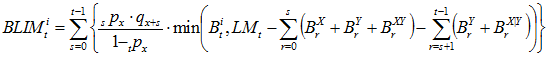
(3) 
EXAMPLE
Lifetime maximum: 50,000
Discount rate: 5%
| t | |||
| 0 | 10,000 | 0.1 | 0.1 |
| 1 | 10,000 | 0.1 | 0.1 |
| 2 | 10,000 | 0.1 | 0.1 |
| 3 | 10,000 | 0.1 | 0.1 |
| 4 | 10,000 | 0.1 | 0.1 |
| 5 | 10,000 | 1 | 0.1 |
| 6 | 10,000 | 1 | 0.1 |
| 7 | 10,000 | 1 | 0.1 |
| 8 | 10,000 | 1 | 0.1 |
| 9 | 10,000 | 1 | 0.1 |
| 10 | 10,000 | 1 | 0.1 |
(a). Probability of contingent events =
for s={0,1,…,t-1}
| s | ||||||||||
| t | 0 | 1 | 2 | 3 | 4 | 5 | 6 | 7 | 8 | 9 |
| 0 | ||||||||||
| 1 | 1 | |||||||||
| 2 | 0.52632 | 0.47368 | ||||||||
| 3 | 0.369 | 0.3321 | 0.29889 | |||||||
| 4 | 0.29078 | 0.2617 | 0.23553 | 0.21198 | ||||||
| 5 | 0.24419 | 0.21977 | 0.1978 | 0.17802 | 0.16022 | |||||
| 6 | 0.1 | 0.09 | 0.081 | 0.0729 | 0.06561 | 0.59049 | ||||
| 7 | 0.1 | 0.09 | 0.081 | 0.0729 | 0.06561 | 0.59049 | 0 | |||
| 8 | 0.1 | 0.09 | 0.081 | 0.0729 | 0.06561 | 0.59049 | 0 | 0 | ||
| 9 | 0.1 | 0.09 | 0.081 | 0.0729 | 0.06561 | 0.59049 | 0 | 0 | 0 | |
| 10 | 0.1 | 0.09 | 0.081 | 0.0729 | 0.06561 | 0.59049 | 0 | 0 | 0 | 0 |
(b). Cumulative claims, given contingent events in (a) =
for s={0,1,…,t-1}
| s | |||||||||||
| t | 0 | 1 | 2 | 3 | 4 | 5 | 6 | 7 | 8 | 9 | 10 |
| 0 | |||||||||||
| 1 | 0 | ||||||||||
| 2 | 10,000 | 0 | |||||||||
| 3 | 20,000 | 10,000 | 0 | ||||||||
| 4 | 30,000 | 20,000 | 10,000 | 0 | |||||||
| 5 | 40,000 | 30,000 | 20,000 | 10,000 | 0 | ||||||
| 6 | 50,000 | 40,000 | 30,000 | 20,000 | 10,000 | 0 | |||||
| 7 | 60,000 | 50,000 | 40,000 | 30,000 | 20,000 | 10,000 | 0 | ||||
| 8 | 70,000 | 60,000 | 50,000 | 40,000 | 30,000 | 20,000 | 10,000 | 0 | |||
| 9 | 80,000 | 70,000 | 60,000 | 50,000 | 40,000 | 30,000 | 20,000 | 10,000 | 0 | ||
| 10 | 90,000 | 80,000 | 70,000 | 60,000 | 50,000 | 40,000 | 30,000 | 20,000 | 10,000 | 0 |
(c). Limited claims =
for s={0,1,…,t-1}
| s | |||||||||||
| t | 0 | 1 | 2 | 3 | 4 | 5 | 6 | 7 | 8 | 9 | 10 |
| 0 | |||||||||||
| 1 | 10,000 | ||||||||||
| 2 | 10,000 | 10,000 | |||||||||
| 3 | 10,000 | 10,000 | 10,000 | ||||||||
| 4 | 10,000 | 10,000 | 10,000 | 10,000 | |||||||
| 5 | 10,000 | 10,000 | 10,000 | 10,000 | 10,000 | ||||||
| 6 | 0 | 10,000 | 10,000 | 10,000 | 10,000 | 10,000 | |||||
| 7 | 0 | 0 | 10,000 | 10,000 | 10,000 | 10,000 | 10,000 | ||||
| 8 | 0 | 0 | 0 | 10,000 | 10,000 | 10,000 | 10,000 | 10,000 | |||
| 9 | 0 | 0 | 0 | 0 | 10,000 | 10,000 | 10,000 | 10,000 | 10,000 | ||
| 10 | 0 | 0 | 0 | 0 | 0 | 10,000 | 10,000 | 10,000 | 10,000 | 10,000 |
(d). Probability * Limited claims = (a) * (c) = 
| s | ||||||||||||
| t | 0 | 1 | 2 | 3 | 4 | 5 | 6 | 7 | 8 | 9 | 10 | |
| 0 | 0 | |||||||||||
| 1 | 10,000 | 10,000 | ||||||||||
| 2 | 5,263 | 4,737 | 10,000 | |||||||||
| 3 | 3,690 | 3,321 | 2,989 | 10,000 | ||||||||
| 4 | 2,908 | 2,617 | 2,355 | 2,120 | 10,000 | |||||||
| 5 | 2,442 | 2,198 | 1,978 | 1,780 | 1,602 | 10,000 | ||||||
| 6 | 0 | 900 | 810 | 729 | 656 | 5,905 | 9,000 | |||||
| 7 | 0 | 0 | 810 | 729 | 656 | 5,905 | 0 | 8,100 | ||||
| 8 | 0 | 0 | 0 | 729 | 656 | 5,905 | 0 | 0 | 7,290 | |||
| 9 | 0 | 0 | 0 | 0 | 656 | 5,905 | 0 | 0 | 0 | 6,561 | ||
| 10 | 0 | 0 | 0 | 0 | 0 | 5,905 | 0 | 0 | 0 | 0 | 5,905 |
(e). Present Value = ![]()
| t | |||||
| 0 | 0 | 0 | 1 | 1 | 0.00 |
| 1 | 10,000 | 0.1 | 0.9 | 0.952381 | 857.14 |
| 2 | 10,000 | 0.19 | 0.81 | 0.907029 | 1,395.92 |
| 3 | 10,000 | 0.271 | 0.729 | 0.863838 | 1,706.59 |
| 4 | 10,000 | 0.3439 | 0.6561 | 0.822702 | 1,856.29 |
| 5 | 10,000 | 0.40951 | 0.59049 | 0.783526 | 1,894.66 |
| 6 | 9,000 | 1 | 0.531441 | 0.746215 | 3,569.13 |
| 7 | 8,100 | 1 | 0.478297 | 0.710681 | 2,753.33 |
| 8 | 7,290 | 1 | 0.430467 | 0.676839 | 2,123.99 |
| 9 | 6,561 | 1 | 0.38742 | 0.644609 | 1,638.51 |
| 10 | 5,905 | 1 | 0.348678 | 0.613913 | 1,263.99 |
| Total | 19,059.54 |
Note: This example can be checked by comparing to the present value of a Reversionary Annuity to Spouse that continues only for 5 years after the member’s death (i.e.,).
![]()
Combinations of Payment Forms
Lifetime maximum, annual caps, and spending accounts may cover Benefit Definitions with different payment forms. In this case,
depends on which benefit you are valuing, as shown in equations (4), (5), (6), and (7) below. Note:
is a sum of claims from all Benefit Definitions with Payment Form of:
Life annuity to member
Life annuity to spouse
Joint life annuity to spouse
Reversionary annuity to spouse
When valuing benefit i with payment form of life annuity to member, we know that the member is alive at time t. We multiply by the probability of the spouse living or dying. Notes:
is paid regardless of whether the spouse lives or dies;
and
stop the year after the spouse’s death (s+1);
is not paid because the member is known to be alive.
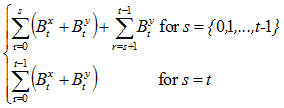
(4) 
When valuing benefit i with payment form of life annuity to spouse, we know that the spouse is alive at time t. We multiply by the probability of the member living or dying. Notes:
is paid regardless of whether the member lives or dies;
and
stop the year after the member’s death (s+1);
begins the year after the member’s death (s+1).
(5) 
When valuing benefit i with payment form of joint life annuity to spouse, we know that both the member and spouse are alive at time t, so there are no contingent events. Note:
is not paid because the member is known to be alive.
(6) ![]()
When valuing benefit i with payment form of reversionary annuity to spouse, we know that the member is dead and the spouse is alive. However, we do not know when the member died. We multiply by the probability that the member dies at time s given that we know the member is dead at time t. Notes:
is paid regardless of whether the member lives or dies;
and
stop the year after the member’s death (s+1);
begins the year after the member’s death (s+1).
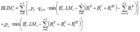
(7) 
Effect of percent married and election probabilities
The equations above assume one contingent life for every primary life. That is, if the member participates then so does the spouse (or vice versa if valuing a spouse benefit). This will not be the case if:
For actives, the member election probability is not equal to (the spouse election probability x percent married).
For inactives, the percent married is not 100%.
In these cases, ProVal determines the limited claims with and without a contingent life and then weights them by their respective probabilities, that is, by the probability that the contingent life participates (or doesn’t) given that the primary life participates.
EXAMPLE
Family lifetime maximum: 100,000
Discount rate: 5%
Benefit Payment Form
x Life Annuity to Member
y Life Annuity to Spouse
| t | ||||
| 0 | 10,000 | 10,000 | 0.1 | 0 |
| 1 | 10,000 | 10,000 | 0 | 0 |
| 2 | 10,000 | 10,000 | 0 | 0 |
| 3 | 10,000 | 10,000 | 0 | 0 |
| 4 | 10,000 | 10,000 | 0 | 0.1 |
| 5 | 10,000 | 10,000 | 0 | 0 |
| 6 | 10,000 | 10,000 | 0 | 0 |
| 7 | 10,000 | 10,000 | 0 | 0 |
| 8 | 10,000 | 10,000 | 0 | 0 |
| 9 | 10,000 | 10,000 | 0 | 0 |
| 10 | 10,000 | 10,000 | 0 | 0 |
and
represent the projected claims for benefits x and y, respectively.
and
are developed below.
PART 1: Benefit x (x + y subject to family maximum)
(a). Probability of contingent events = 
| s | |||||||||||
| t | 0 | 1 | 2 | 3 | 4 | 5 | 6 | 7 | 8 | 9 | 10 |
| 0 | 1 | ||||||||||
| 1 | 0 | 1 | |||||||||
| 2 | 0 | 0 | 1 | ||||||||
| 3 | 0 | 0 | 0 | 1 | |||||||
| 4 | 0 | 0 | 0 | 0 | 1 | ||||||
| 5 | 0 | 0 | 0 | 0 | 0.1 | 0.9 | |||||
| 6 | 0 | 0 | 0 | 0 | 0.1 | 0 | 0.9 | ||||
| 7 | 0 | 0 | 0 | 0 | 0.1 | 0 | 0 | 0.9 | |||
| 8 | 0 | 0 | 0 | 0 | 0.1 | 0 | 0 | 0 | 0.9 | ||
| 9 | 0 | 0 | 0 | 0 | 0.1 | 0 | 0 | 0 | 0 | 0.9 | |
| 10 | 0 | 0 | 0 | 0 | 0.1 | 0 | 0 | 0 | 0 | 0 | 0.9 |
(b). Cumulative claims, given contingent events in (a)
= 
| s | |||||||||||
| t | 0 | 1 | 2 | 3 | 4 | 5 | 6 | 7 | 8 | 9 | 10 |
| 0 | 0 | ||||||||||
| 1 | 20,000 | 20,000 | |||||||||
| 2 | 30,000 | 40,000 | 40,000 | ||||||||
| 3 | 40,000 | 50,000 | 60,000 | 60,000 | |||||||
| 4 | 50,000 | 60,000 | 70,000 | 80,000 | 80,000 | ||||||
| 5 | 60,000 | 70,000 | 80,000 | 90,000 | 100,000 | 100,000 | |||||
| 6 | 70,000 | 80,000 | 90,000 | 100,000 | 110,000 | 120,000 | 120,000 | ||||
| 7 | 80,000 | 90,000 | 100,000 | 110,000 | 120,000 | 130,000 | 140,000 | 140,000 | |||
| 8 | 90,000 | 100,000 | 110,000 | 120,000 | 130,000 | 140,000 | 150,000 | 160,000 | 160,000 | ||
| 9 | 100,000 | 110,000 | 120,000 | 130,000 | 140,000 | 150,000 | 160,000 | 170,000 | 180,000 | 180,000 | |
| 10 | 110,000 | 120,000 | 130,000 | 140,000 | 150,000 | 160,000 | 170,000 | 180,000 | 190,000 | 200,000 | 200,000 |
(c). Limited claims = ![]()
| s | |||||||||||
| t | 0 | 1 | 2 | 3 | 4 | 5 | 6 | 7 | 8 | 9 | 10 |
| 0 | 10,000 | ||||||||||
| 1 | 10,000 | 10,000 | |||||||||
| 2 | 10,000 | 10,000 | 10,000 | ||||||||
| 3 | 10,000 | 10,000 | 10,000 | 10,000 | |||||||
| 4 | 10,000 | 10,000 | 10,000 | 10,000 | 10,000 | ||||||
| 5 | 10,000 | 10,000 | 10,000 | 10,000 | 0 | 0 | |||||
| 6 | 10,000 | 10,000 | 10,000 | 0 | 0 | 0 | 0 | ||||
| 7 | 10,000 | 10,000 | 0 | 0 | 0 | 0 | 0 | 0 | |||
| 8 | 10,000 | 0 | 0 | 0 | 0 | 0 | 0 | 0 | 0 | ||
| 9 | 0 | 0 | 0 | 0 | 0 | 0 | 0 | 0 | 0 | 0 | |
| 10 | 0 | 0 | 0 | 0 | 0 | 0 | 0 | 0 | 0 | 0 | 0 |
(d). Probability * Limited claims = (a) * (c)
| s | ||||||||||||
| t | 0 | 1 | 2 | 3 | 4 | 5 | 6 | 7 | 8 | 9 | 10 | |
| 0 | 10,000 | 10,000 | ||||||||||
| 1 | 0 | 10,000 | 10,000 | |||||||||
| 2 | 0 | 0 | 10,000 | 10,000 | ||||||||
| 3 | 0 | 0 | 0 | 10,000 | 10,000 | |||||||
| 4 | 0 | 0 | 0 | 0 | 10,000 | 10,000 | ||||||
| 5 | 0 | 0 | 0 | 0 | 0 | 0 | 0 | |||||
| 6 | 0 | 0 | 0 | 0 | 0 | 0 | 0 | 0 | ||||
| 7 | 0 | 0 | 0 | 0 | 0 | 0 | 0 | 0 | 0 | |||
| 8 | 0 | 0 | 0 | 0 | 0 | 0 | 0 | 0 | 0 | 0 | ||
| 9 | 0 | 0 | 0 | 0 | 0 | 0 | 0 | 0 | 0 | 0 | 0 | |
| 10 | 0 | 0 | 0 | 0 | 0 | 0 | 0 | 0 | 0 | 0 | 0 | 0 |
(e). Present Value = ![]()
| t | ||||
| 0 | 10,000 | 1 | 1 | 10,000 |
| 1 | 10,000 | 0.9 | 0.952381 | 8,571 |
| 2 | 10,000 | 0.9 | 0.907029 | 8,163 |
| 3 | 10,000 | 0.9 | 0.863838 | 7,775 |
| 4 | 10,000 | 0.9 | 0.822702 | 7,404 |
| 5 | 0 | 0.9 | 0.783526 | 0 |
| 6 | 0 | 0.9 | 0.746215 | 0 |
| 7 | 0 | 0.9 | 0.710681 | 0 |
| 8 | 0 | 0.9 | 0.676839 | 0 |
| 9 | 0 | 0.9 | 0.644609 | 0 |
| 10 | 0 | 0.9 | 0.613913 | 0 |
| Total | 41,914 |
PART 2: Benefit y (x + y subject to family maximum)
(a). Probability of contingent events = 
| s | |||||||||||
| t | 0 | 1 | 2 | 3 | 4 | 5 | 6 | 7 | 8 | 9 | 10 |
| 0 | 1 | ||||||||||
| 1 | 0.1 | 0.9 | |||||||||
| 2 | 0.1 | 0 | 0.9 | ||||||||
| 3 | 0.1 | 0 | 0 | 0.9 | |||||||
| 4 | 0.1 | 0 | 0 | 0 | 0.9 | ||||||
| 5 | 0.1 | 0 | 0 | 0 | 0 | 0.9 | |||||
| 6 | 0.1 | 0 | 0 | 0 | 0 | 0 | 0.9 | ||||
| 7 | 0.1 | 0 | 0 | 0 | 0 | 0 | 0 | 0.9 | |||
| 8 | 0.1 | 0 | 0 | 0 | 0 | 0 | 0 | 0 | 0.9 | ||
| 9 | 0.1 | 0 | 0 | 0 | 0 | 0 | 0 | 0 | 0 | 0.9 | |
| 10 | 0.1 | 0 | 0 | 0 | 0 | 0 | 0 | 0 | 0 | 0 | 0.9 |
(b). Cumulative claims, given contingent events in (a)
= 
| s | |||||||||||
| t | 0 | 1 | 2 | 3 | 4 | 5 | 6 | 7 | 8 | 9 | 10 |
| 0 | 0 | ||||||||||
| 1 | 20,000 | 20,000 | |||||||||
| 2 | 30,000 | 40,000 | 40,000 | ||||||||
| 3 | 40,000 | 50,000 | 60,000 | 60,000 | |||||||
| 4 | 50,000 | 60,000 | 70,000 | 80,000 | 80,000 | ||||||
| 5 | 60,000 | 70,000 | 80,000 | 90,000 | 100,000 | 100,000 | |||||
| 6 | 70,000 | 80,000 | 90,000 | 100,000 | 110,000 | 120,000 | 120,000 | ||||
| 7 | 80,000 | 90,000 | 100,000 | 110,000 | 120,000 | 130,000 | 140,000 | 140,000 | |||
| 8 | 90,000 | 100,000 | 110,000 | 120,000 | 130,000 | 140,000 | 150,000 | 160,000 | 160,000 | ||
| 9 | 100,000 | 110,000 | 120,000 | 130,000 | 140,000 | 150,000 | 160,000 | 170,000 | 180,000 | 180,000 | |
| 10 | 110,000 | 120,000 | 130,000 | 140,000 | 150,000 | 160,000 | 170,000 | 180,000 | 190,000 | 200,000 | 200,000 |
(c). Limited claims = ![]()
| s | |||||||||||
| t | 0 | 1 | 2 | 3 | 4 | 5 | 6 | 7 | 8 | 9 | 10 |
| 0 | 10,000 | ||||||||||
| 1 | 10,000 | 10,000 | |||||||||
| 2 | 10,000 | 10,000 | 10,000 | ||||||||
| 3 | 10,000 | 10,000 | 10,000 | 10,000 | |||||||
| 4 | 10,000 | 10,000 | 10,000 | 10,000 | 10,000 | ||||||
| 5 | 10,000 | 10,000 | 10,000 | 10,000 | 0 | 0 | |||||
| 6 | 10,000 | 10,000 | 10,000 | 0 | 0 | 0 | 0 | ||||
| 7 | 10,000 | 10,000 | 0 | 0 | 0 | 0 | 0 | 0 | |||
| 8 | 10,000 | 0 | 0 | 0 | 0 | 0 | 0 | 0 | 0 | ||
| 9 | 0 | 0 | 0 | 0 | 0 | 0 | 0 | 0 | 0 | 0 | |
| 10 | 0 | 0 | 0 | 0 | 0 | 0 | 0 | 0 | 0 | 0 | 0 |
(d). Probability * Limited claims = (a) * (c)
| s | ||||||||||||
| t | 0 | 1 | 2 | 3 | 4 | 5 | 6 | 7 | 8 | 9 | 10 | |
| 0 | 10,000 | 10,000 | ||||||||||
| 1 | 1,000 | 9,000 | 10,000 | |||||||||
| 2 | 1,000 | 0 | 9,000 | 10,000 | ||||||||
| 3 | 1,000 | 0 | 0 | 9,000 | 10,000 | |||||||
| 4 | 1,000 | 0 | 0 | 0 | 9,000 | 10,000 | ||||||
| 5 | 1,000 | 0 | 0 | 0 | 0 | 0 | 1,000 | |||||
| 6 | 1,000 | 0 | 0 | 0 | 0 | 0 | 0 | 1,000 | ||||
| 7 | 1,000 | 0 | 0 | 0 | 0 | 0 | 0 | 0 | 1,000 | |||
| 8 | 1,000 | 0 | 0 | 0 | 0 | 0 | 0 | 0 | 0 | 1,000 | ||
| 9 | 0 | 0 | 0 | 0 | 0 | 0 | 0 | 0 | 0 | 0 | 0 | |
| 10 | 0 | 0 | 0 | 0 | 0 | 0 | 0 | 0 | 0 | 0 | 0 | 0 |
(e). Present Value = ![]()
| t | ||||
| 0 | 10,000 | 1 | 1 | 10,000 |
| 1 | 10,000 | 0.952381 | 1 | 9,524 |
| 2 | 10,000 | 0.907029 | 1 | 9,070 |
| 3 | 10,000 | 0.863838 | 1 | 8,638 |
| 4 | 10,000 | 0.822702 | 1 | 8,227 |
| 5 | 1,000 | 0.783526 | 0.9 | 705 |
| 6 | 1,000 | 0.746215 | 0.9 | 672 |
| 7 | 1,000 | 0.710681 | 0.9 | 640 |
| 8 | 1,000 | 0.676839 | 0.9 | 609 |
| 9 | 0 | 0.644609 | 0.9 | 0 |
| 10 | 0 | 0.613913 | 0.9 | 0 |
| Total | 48,085 |